河南巨鼎管业有限公司欢迎您!

 

公司主营:PE给水管、电熔管件、钢丝网复合管、钢带增强螺旋波纹管、矿用管、MPP电力管

 

                 给水用聚乙烯管材、孔网钢带聚乙烯复合管 钢骨架增强聚乙烯复合管 双壁波纹管 电熔双密封聚乙烯复合管RESP

15517620777(微信同号)

RESP1466:2022标准

为规范承插式 U 型胶圈电熔双密封聚乙烯复合管道的工程应用,使设计、施工及验收做到经济合理、安全卫生,确保工程 质量,制定本规程。
本规程适用于新建、改建和扩建的管道公称外径不大于 1000mm的市政、工业和民用建筑承插式 U 型胶圈电熔双密封聚乙烯复合管道 工程的设计、施工及验收。

承插式U 型胶圈电熔双密封聚乙烯复合管管道工程技术规程详见附件:

附件:承插式U型胶圈电熔双密封聚乙烯复合管管道RESP1466:2022

1 总则

1.0.1 为规范承插式 U 型胶圈电熔双密封聚乙烯复合管道的工程应用,使设计、施工及验收做到经济合理、安全卫生,确保工程 质量,制定本规程。

1.0.2 本规程适用于新建、改建和扩建的管道公称外径不大于 1000mm的市政、工业和民用建筑承插式 U 型胶圈电熔双密封聚乙烯复合管道 工程的设计、施工及验收。

1.0.3 承插式 U 型胶圈电熔双密封聚乙烯复合管道输送介质宜为城市引用水,当输送含有腐蚀性污废水或固液混合物时,应满足聚乙烯塑料的耐腐蚀和耐磨性要求。

1.0.4 承插式 U 型胶圈电熔双密封聚乙烯复合管道工程的设计、钢丝网骨架复合管施工工法CECS:181:2005及GB50268—2008验收除应符合本规程的规定外,尚应符合国家现行有关标准的规定。

2 术语和符号

2.1 术语

2.1.1 承插式 U 型胶圈电熔双密封聚乙烯复合管道接口承口端外侧具有电熔加热,承口内侧设有胶圈槽,承口根部设有止口,止口与胶圈槽之间设有防位移安全区。通过胶圈、电熔两种密封措施相结合实现双重密封的管道接口形式,属承插式接口。

2.1.2 承插式 U 型胶圈电熔双密封聚乙烯复合管道由承插式 U 型胶圈电熔双密封聚乙烯复合管道接口构件及聚乙烯管材组成的管道,简称聚乙烯加强型复合管道。

2.1.3 承插式 U 型胶圈电熔双密封聚乙烯复合管道

Socket type U type rubber ring electric melt double sealing polyethylene compound pipe

由 U 型圈电熔双密封管道接口构件及聚乙烯增强型复合管材组成的管道,简称聚乙烯加强型复合管道。根据复合管材增强所用材料的性质。又可分为钢丝网增强型和孔网钢板增强型两种型式。

2.1.4 承插式 U 型胶圈电熔双密封管件

Socket type U type rubber ring electric fusion double sealing pipe fittings

具有 U 型胶圈及电熔加热,管材、管件的承口和插口能通过U型胶圈密封和电热熔接方式达到双密封效果,专用于承插式 U 型胶圈电熔双密封聚乙烯复合供水管道工程的管件,包括直接、弯头、三通、异径直接、异径三通、法兰等。

2.1.5 承插式 U 型胶圈电熔双密封管件

Socket type U type rubber ring electric fusion double sealing pipe fittings

管件外侧采用高强度纤维材料及树脂,或管件壁厚内复合布孔均匀的钢套,或管件内径衬入金属板等加强措施,并通过 U 型圈密封及电热熔接方式达到双密封,专用于 U 型器电熔双密封聚乙烯复合供水管道工程的管件,包括句括直接、弯头、三通、异径直接、异径三通、法兰等。

2.1.6 胶圈法兰双密封钢塑转换接头

steel-plastic conversion with double seal joint of rubber ring and flange

两端法兰由锻钢涂塑制成,内设可装入橡胶密封胶圈的 U 型槽。

通过橡胶密封圈与法兰紧固双重密封的转换管件,可解决不同膨胀系数材质的管道相互连接隐患。

2.1.7 管材两端连接处封口

Pipe ends are sealed

将管材切口处外露的增强金属钢丝及钢板用聚乙烯焊条或聚乙烯封口环进行密封。

2.2 符号

2.2.1 管道上的作用力:

PN———管道的公称压力;

Pw———管道的工作压力;

Fb———管道的水锤压力;

R———管道工程系统试验压力:

Ft———由温差引起的管段轴向推(拉)力。

2.2.2 几何参数:

V———试压管段的总容积!

DN———管道的公称外径;

DJ———管道的水力计算内径;

e———管道的公称壁厚:

L———管段长度:

Lf———无纵向约束管段的长度:

Sw———管道的管壁环形截面积。

2.2.3 计算参量和系数:

Ep———管材的弹性模量;

4E1———管材纵向弹性模量;

Ew———水的体积模量:

g—重力加速度;

H1———管道水流沿程水头损失:

Hs———局部水头损失;

K———局部阻力系数:

Re———雷诺数;

u———管道内水流的平均流速;

入———管道水力摩阻系数;

Kt———50 年寿命要求条件下,公称压力温度修正系数

t———管道内的介质温度;

Ub———压力波回流的速度;

c———管端固定度;

Yw———水的重力密度;

△u———管道内水的流速变化值,可取平均流速以;

a———管道的线膨胀系数:

△V———水压试验管段降压泄出的水量;

△Vmax———水压试验管段允许泄出的最大水量;

△P———试压管段降压量。

53 管材和管件

3.1 一般规定

3.1.1 承插式 U 型胶圈电熔双密封聚乙烯复合管道工程(以下简称管道工程)采用的管材、管件等应符合国家现行标准《钢丝网骨架塑料(聚乙烯)复合管材及管件》 CJ/T189-2007、《给水用钢骨架聚乙烯塑料复合管》 CJ/T 123-2016、《给水用钢骨架聚乙烯塑料复合管件》CJ/T124-2016、《工业用钢骨架聚乙烯塑料复合管》HG/T3690-2012、《工业用钢骨架聚乙烯塑料复合管件》HG/T3691-2012、《给水用聚乙烯电熔管件》GB/T13663.3-2018 等的规定。当用于生活供水管道

时,卫生性能应符合现行国家标准《生活饮用水输配水设备及防护材料的安全性评价标准》GB/T 17219 的规定。

3.1.2 承插式 U 型胶圈电熔双密封聚乙烯复合管材与管件应采用U型胶圈电熔双密封连接

 

承插式 U 型胶圈电熔双密封聚乙烯复合管道接口结构

 

3.1.3 管道工程中采用的承插式 U 型胶圈电熔双密封聚乙烯复合管材和管件,宜选用同一品牌的配套产品,并应有明显的标识。

3.1.4 承插式 U 型胶圈电熔双密封聚乙烯复合管材和管件的短期静液压强度和爆破压力试验强度应符合表 3.1.4 的规定。

注:1 试验截断管材两端口,应进行防渗密封处理;

2 当管材及管件的公称外径为 250mm 及以上时,对爆破压力不做强制性要求。

3.1.5 管材、管件所用聚乙烯(PE)树脂的拉伸屈服强度应符合现行国家标准《聚乙烯(PE)树脂》GB/T11115 的规定,并符合表 3.1.5 的规定:

表 3.1.5 管材、管件所用聚乙烯树脂的拉伸屈服强度

3.1.6 管材、管件所用聚乙烯材料的强度等性能应符合现行国家标准《给水用聚乙烯(PE)管材》GB/T13663—2018 中第 4 章和《给水用聚乙烯(PE)管道系统第 2 部分:管件》GB/T136632—2005 中第 4 章的规定。

3.1.7 U 型胶圈材料应符合现行国家标准《橡胶密封件给、排水管及污水管道用接口密封圈材料规范 GB/T 21873 的规定。

3.1.8 承插式 U 型胶圈电熔双密封聚乙烯复合管材、管件的不圆度应控制在公称外径的 15%以内。

3.2 管材

3.2.1 承插式 U 型胶圈电熔双密封聚乙烯复合管材可分为钢丝网增强型和孔网钢板增强型两种型式。

承插式 U 型胶圈电熔双密封聚乙烯复合管材规格尺寸应符合本规程附录 A 的规定。

1—熔区;2—密封圈;3—T 型限位;4 一管件; 5—承插口;6—焊接口; 图 3. 2. 1-2 承插式 U 型胶圈电熔双密封聚乙烯复合管材结构

图 3.2.1-2 承插式 U 型胶圈电熔双密封聚乙烯复合管材结构

1—管件;2 一 T 型限位;3 一密封胶圈;4 一发热电阻丝;5 —焊接口; 6—管材;

3.2.2 承插式 U 型胶圈电熔双密封聚乙烯复合管材增强层复合用树脂指指标,应符合表 3.2.2 的规定。

表 3.2.2 复合管用贴结树脂指标

3.2.3 承插式 U 型胶圈电熔双密封聚乙烯复合管材所采用的高强度钢丝应符合现行国家标准《胎圈用钢丝》GB/T14450 的规定,应无油污、锈斑、灰垢等污物及破损、压痕等对使用有害的缺陷,钢丝的断面最少钢丝条数及最小直径可按本规程附录 B 执行。

3.2.4 承插式 U 型胶圈电熔双密封聚乙烯复合管材所采用的低碳冷轧钢带 YB/T5059 规定。采用的低碳热轧钢带时,其性能要求应符合 GB/T6524 的规定,钢带的抗拉伸强度应不小于 260MPa。3.2.5 管材的外表面应色泽均匀,无明显划痕、无气泡、无针眼、无脱皮和其他影响使用的缺陷;内表面应平滑,无斑点、无异物、无针眼、无裂纹。管材端头应进行防渗密封处理。

3.2.6 承插式 U 型胶圈电熔双密封聚乙烯复合管材颜色宜为黑色或带有蓝色色条的黑色管。

3.3 管 件

3.3.1 承插式 U 型胶圈电熔双密封聚乙烯复合管件(图 3. 3.1-1)

 

图 3.3.1-1 普通型胶圈电熔双密封管件端口结构

1 一熔区;2—密封圈;3—T 型限位;4 一管件;5 一承接口; 6—焊接口;

3.3.2 承插式 U 型胶圈电熔双密封聚乙烯复合管道与不同材质管道连接时,宜采用胶圈法兰双密封钢塑转换接头连接。

3.3.3 管件的公称压力应符合 GB/T13663.3-2018 的规定,管件的规格尺寸应符合附录 C 的规定

3.3.2 胶圈法兰双密封钢塑转换接头连接示意

1—熔区;2—密封圈;3—T 型限位;4—管件;5—承接口;

4 设计

4.1 一般规定

4.1.1 管道工程的设计流量、水力计算、敷设等应符合现行国家标准《室外给水设计规范》GB50013、《建筑给水排水设计规范》GB50015、《城市工程管线综合规划规范》GB50289 等的规定。

4.1.2 管道工程的最大工作压力应根据管材、管件的公称压力和所输送介质的温度按公式 经计算确定。

Pw<0.9·Kt·Pn (4.1.2)

式中:Pw—管道的工作压力(MPa);

0.9—管道系统安全系数;

Kt—管道寿命为 50 年的条件下,对管道公称压力按实际使用温度进行调整的公称压力温度修正系数,按表 4.1.2 确定;

PN—管材、管件的公称压力(MPa)

表 4.1.2 公称压力温度修正系数 Kt

注“一”表示没有适用于此条件的管道。

4.1.3 管道介质的设计流速宜按表 4.1.3 选用,当最大设计流速超过表 4.1.3 的数值时,应核算管道系统的安全性。

表 4.1.3 管道内的设计流速

4.1.4 利用管材的纵向弹性弯曲敷设管道时,管段内的最小允许弯曲半径应符合表 4.1.4-1~表 4.1.4-3 的规定,当管段上有接头时,允许的弯曲半径不宜小于 200dn 采用冷弯曲敷设管道时,应在沟槽内按弯曲方向浇筑固定管道弧度的混凝土或砖砌的固定墩。

表 4.1.4-1 普通型直管的最小允许弯曲半径(mm)

表 4.1.4-2 钢丝增强直管的最小允许弯曲半径(mm)

表 4.1.4-3 纤维增强直管的最小允许弯曲半径(mm)

4.1.5 在外界因素可能引起供水管道外表面温度升高的场所或部位,应通过计算确定胶圈电熔双密封聚乙烯复合供水管道与其他管线、设施的最小间距,保证供水管道的表面温度不超过 40℃, 并应按本规程第 4.1.2 条校核调整。架空或敷设在管廊内的供水管道,应根据具

体情况采取防止冻结的措施。

4.1.6 管为 dn160 及以上的室外供水管道应在上凸段的最高点设置快 速排气阀等排气装置,宜在下凹段的最低点设置泄水阀。

4.2 管道布置

4.2.1 胶圈电熔双密封聚乙烯复合供水管道埋地敷设时,不得在构筑物、建筑物、设备的基础下穿越,交叉管道间的垂直净距不宜小于200mm。

4.2.2 架空或敷设在管廊内的供水管道,应根据水温和环境温度变化情况,进行纵向变形量计算。当采用伸缩变形补偿设计时,应采用固定支座分隔分段补偿,每段不宜超过 100m 管段内设滑动支座。

4.2.3 室外供水管道采用外设保护套管措施时,应符合下列规定:

1 保护套管应采用钢、铸铁、钢筋混凝土等材料制作;

2 保护套管的内径不得小于穿越管外径加 300mm;

3 宜减少管材在套管内的接口数量。

4.2.4 埋设管道穿越铁路、高速公路或其他主要交通路线时应符合国家现行有关标准的规定。

4.2.5 管道穿越河道时,应采取抗浮措施,并应减少接口的数量。

4.2.6 管道与阀门、设备装置、构筑物等连接时,应有可靠的固定措施。管道上的阀门等设施应有独立的支承,其重量不得作用在管道上。

4.2.7 供水管道的管道基础回填土层应压实,压实系数应在有关设计文件中明确规定。

4.3 管道水力计算

4.3.1 管道沿程水头损失 h1 应按下式计算,也可按附录 E 选用。

式中: h1—管道水流沿程水头损失(m);

入—管道水力摩阻系数;

L—管段长度(m);

u—管道内水流的平均流速(m/s);

dj—管道的计算内径,可按附录 D 选用:

g—重力加速度(9.81m/s2)。

 

 

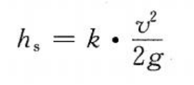
4.3.2 局部水头损失可按公式(4.3.2)计算。在计算资料不足的情况下,管道局部水头损失可按管网沿程水头损失的百分数计算:城市供水管网为 8%~12%;其他小区供水管网为 12%~18%。

式中:hs—局部水头损失(m);

K—局部阻力系数。

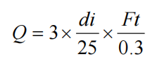
4.3.3 水锤压力可按下列公式计算:

式中: Pb—20℃条件下,管道的水锤压力(m);

Δv—管道内水的流速变化值,可取平均流速 v(m/s);

Vb—压力波回流的速度(m/s);

rw—水的重力密度(kg/m);

C—管端固定度,可取 075~10;

Ew—水的体积模量(kg/m);

Ep—管材的弹性模量(kg/m);

e—管道的公称壁厚(m)。

4.4 管道工程结构计算

4.4.1 管道工程的结构设计国家现行标准《给水排水工程管道结构设计规范》GB503323 埋地聚乙烯给水管道工程技术规程》CJJ101 等的规定执行。

4.4.2 无纵向约束的管段由温差引起的纵向变形量△L,可按下式计算:

式中:△L--管段纵向变形量(m);

α—管道的线膨胀系数[m/(m·℃]可按表 4.4.2 取值:

Lf—无纵向约束管段的长度(m);

△t—在管壁中心处,施工安装与运行使用中的最大温度差(℃)。

表 4.4.2 管道的线膨胀系数α[mm/(m·℃)]

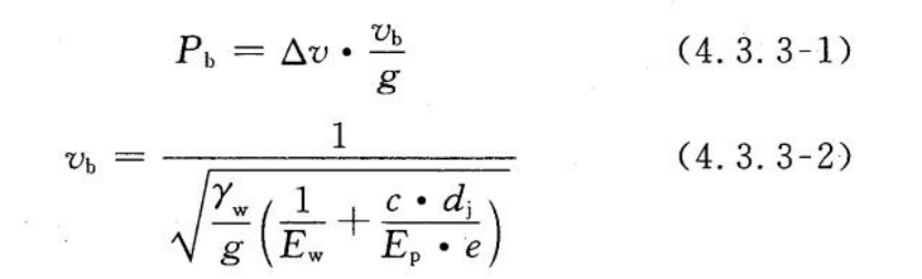
4.4.3 端部完全约束的管段由温差引起的轴向推(拉)力 Ft 可按下式计算:

式中:Ft—由温差引起的管段轴向推(拉)力(kg);

E1—管材纵向弹性模量(kg/m2);

Sw—管道的管壁环形截面积(m2)。

5 施工

5.1 一般规定

5.1.1 管道的施工应按设计要求及现行国家标准《给水排水管道工程施工及验收规范》GB50268、《建筑给水排水及采暖工程施工质量验收规范》 GB50242 等的规定执行。

5.1.2 管道工程施工前应具备下列条件:

1 经规程批的施工图纸及其他技术文件齐全,且已进行图纸和施工方案的技术交底,符合施工要求;

2 管材、管件、配套接头件、管道支承件和材料、机具、水、电供应等能保证正常施工;

3施工人员已接受过管道安装技术培训,并掌握基本操作要求。

5.1.3 工现场应对进场管材、管件、配套接头件等进行检查,核对是否属于同一产品品牌和型号,其规格、颜色、外观质量及长度、不圆度、外径、壁厚等尺寸应符合相应产品标准的规定,并应具有产品质量检测报告、出厂合格证、使用的原材料级别和牌号说明。不得使用不符合标准要求的产品。

5.1.4 管道连接宜采用同牌号级别聚乙烯、型号、压力等级相同的管材管件及管道附件。管道采用焊接设备,应按产品生产企业的焊接工艺要求实施,使用专用的焊接设备,焊接动力电源应符合焊接设备和焊接工艺的要求。不同牌号级别聚乙烯的管材以及管道附件之间的连接应经过试验,判定连接质量能得到保证后,方可连接。

5.1.5 管道改变管径或接出支管时,应采用配套管件。

5.1.6 管道与金属管道、阀门、消火栓等附件的连接,宜采用活套电熔法兰和胶圈法兰双密封钢塑转换接头连接。采用的活套电熔法兰和双密封钢塑转换接头应经过防腐处理,其转换管件的压力等级不得低于管材公称压力。

5.1.7 管材、管件以及管道附件存放处与施工现场温差较大时,连接前应将胶圈电熔双密封聚乙烯复合供水管材、管件在施工现场放置一段时间,使其温度与施工现场的温度差值接近。

5.1.8 当施工环境温度低于-5℃时,应采取相应的保温措施:当环境温度超过 40℃或太阳辐射较强时,应采取防护措施。

5.1.9 当施工环境风速达到 4 级以上时,应采取相应的防风挡沙措施。

5.1.10 管道的安装应符合下列规定:

1胶圈电熔双密封聚乙烯复合供水管材与管件采用胶圈电熔双密封承插连接时,应采用管材生产企业提供的安装设备,并在管材生产企业技术人员指导下进行操作。

2 应采用由管道生产企业提供的电热熔焊接所需电压、电流、焊接时间、冷却时间等工艺参数。电熔连接机具输出电流、电压应稳定,符合电熔连接工艺要求。使用前应用万能表复核电熔连接机具输入与输出电流、电压是否一致,有误差时应及时联系生产企业进行调整或修复后方可使用。

3 管材、管件安装时,打开包装物并用洁净棉布擦净承口与插口接触面上的污物,并用万能表检测检查电热丝是否合格。

4 当现场安装胶圈时,胶圈应由管材生产企业提供,放入时承口胶圈槽应先清理干净,并正确放入槽内,不得装反或扭曲。

5 插入时,橡胶密封圈可涂刷润滑剂,润滑剂应对管材、管件、橡胶密封圈无损害作用,且无毒、无味,不会滋生细菌。不得将润滑剂涂在电熔区和插口表面或涂刷过多润滑剂溢流污染电堵区。

6 施工环境温度低于 8℃或超过 32℃时,应调整电熔连接的工艺参数,并经过试验,判定连接质量能得到保证后,方可连接。

7 管道施工温差较大时,应在温度较低时安装并焊接。

5.1.11 管道的施工应符合下列规定。

1 应准确测量承口深度,并在插口部位标明需插入有效长度的标记。

2 采用专工具刮除插口、承口电接触处的全部氧化层,管材与密封胶圈接触面不宜被刮除。

3 将插口端对准承口,并使两条管道轴线对齐在一条平直线上,将其一次插入,直至标记线均匀外露在承口端部。为保证对接口平直,可垫方大等找平,但电熔焊冷却后应将方太取出。

4 管材、管件接口承插后松紧度应符合胶圈、电热熔连接要求,承口、插口尺寸不匹配不宜使用。

5小口径管道插入时宜用人力在管端垫大块用播棍(或大锤)将管材、管件推入到位的方法。大口径管道可用手扳葫芦等专用牵引工具拉入。不得用挖土机等施工机械推顶管插入。dn50mm—dn90mm 管材宜采用人工推入:dn110mm~dn200mm 管材宜采用 1t 紧线器拉入: dn200mm 以上的管材宜采用 1 只~2 只 1.5t 手扳葫芦两侧对称均匀拉入。推入时应对电熔接线柱进行有效保护。

6 涂刷润滑剂时,应将润滑剂均匀地涂在已装入承口内的胶圈表面上,插入时阻力过大应将管材拔出,检查胶圈是否扭曲,不得强行插入。

7 切割管材应采用机械切割方法,切割端面应平整且应与管道轴线垂直。切断管材端面裸露的增强材料应进行再密封防渗处理,严禁用明火烧割。

8 将管材插口端制成不大于 4mm 的倒角,角度不宜大于 15°插口不应有裸露增强材料或锐角。

9 进行电熔焊接前,标有插入深度记号的管道接口应无轴向位移或不同轴线,当有轴向位移或不同轴线时,应进行复位后方可焊接施工。

10 管道在接后进行电熔焊接冷却期间,不得移动连接件或在连接件上施加任何外力。

5.1.12 管道的施工应配合土建结构施工进度,做好管道穿越墙 体等结构的预留洞,预埋套管和预埋件。孔洞尺寸和位置应符合设计要求。管道安装前应检查和核对预留洞和穿墙套管的位置和标高。

5.1.13 室内供水管道的穿墙套管长度不得小于墙体厚度,穿楼板套管应高出楼板结构面 50mm,穿地面套管应高出地坪面 100mm。当设计无要求时,套管内径可比供水管外径大 50mm。供水管与套管之间空隙应采用填缝材料填实后封堵。穿越外墙时,应按设计要求采取防水

措施。

5.1.14 不为拉、吊架、架等使用。严禁冲击管道或在管道上钉金属钉等尖锐物体。

5.1.15 管道安装时应随时清扫管道中的杂物。临时停止施工时,管道的开口部位应及时封堵。

5.1.16 供水管道釆用保护套管时,应在穿管前对穿越部分进行管道水压试验,并做好隐蔽工程验收。

5.1.17 供水管道泄空时应采取补偿进气、控制泄空排放速度等 措施避免形成可能对管道系统造成破坏的负压现象。

5.1.18 操作现场不得有明火,不得对管材进行明火烘弯,应防潮和防污染。管道连接采用电热熔工具时,应遵守电器工具安全操作规程。

5.1.19 当管道用于水平定向钻法管道穿越工程时,应根据管道的性能,按国家现行有关标准的规定执行。

5.2 储运

5.2.1 管材和管件的存放应符合国家现行有关标准的消防要求。

5.2.2 管材和管件应存放在通风良好的库房或有顶的棚内,距热源不得小于 1m.环境温度不宜超过40℃并应避免接触腐蚀性试剂或溶剂。

5.2.3 管件不应露天存放。存放管件时,管件应逐层码堆,固定可靠,堆放高度不宜超过 1.5m。

5.2.4 管材存放时,应水平堆放在干净、平整垫有木方等场地上,支撑木方的间隔不应超过 1.5m 单根木方的支撑宽度不宜小于 0.25m。

管道承口与插口应交替摆放整齐,承口部分应悬出插口 端部,确保承口与插口不被挤压变形,堆放高度不宜超过 1.5m 并保护好管材承口、插口包装物完整,且应有防滚动、防坍塌措施。 当受条件限制,管材需露天存放时,应有防止阳光直射、暴晒的措施。

5.2.5 管材与管件在装卸、搬运和堆放时,应小心轻放、不得划伤,避免油污和化学品污染,严禁剧烈撞击和与尖锐物品碰触,不得抛、摔、滚、拖。管材运输时应全长支撑,并与车辆牢固固定。

5.2.6 装卸时吊索应采用较宽的柔韧皮带、吊带或绳,不得采用钢丝绳或铁链等金属绳索直接接触吊装管材。管才宜采用两个吊点起吊,不得采取用绳索贯穿管材两端的方式装卸管材。

5.3 埋地敷设

5.3.1埋地管道应敷设在原状土地基或开挖后经处理回填密实的地基上。沟槽的开挖、回填应根据士质情况及地下水位情况判断是否需要采取支撑、放坡及降水措施。

5.3.2 管道沟槽的开挖应符合下列规定:

1 管道沟槽的平面位置和标高开挖应符合设计要求,沟槽边坡可根据施工现场环境、槽深、地下水位、土质条件、施工设备和季节影响等因素确定。

2 当管径 dn<500mm 时,管道每边净宽不宜小于 0.3m;dn≥500mm时,管道每边净宽不宜小于 0.5m。

3 开挖沟槽时应控制基底高程,不得扰动基底原状土层。人工开挖且无地下水时,槽底预留值宜为 100mm~150mm;机械开挖或有地下水时,槽底预留值不应小于 150mm。开挖土方时,槽底高程允许偏差应为±20mm;开挖石方时,高程允许偏差应为(+20mm、-200mm)。基底设计标高以上的原状一层,应在铺管前用人工清理至设计标高。如遇超挖或发生扰动情况,应用最大粒径小于 40mm 的砂石料回填,并整平夯实至 95%密实度,严禁用杂土回填。在槽底如有尖硬物体,应清除后用砂石做回填处理。

4 在地下水位高于沟槽底的槽段,地下水位应降到槽底最低点以下。槽底不得受水浸泡。若采用人工降水措施,应待地下水位稳定降至沟槽底以下时方可开挖。管道在敷设、回填的全部过程中,槽底不得积水或受冻。必须在回填土超过管顶 0.5m 和管道达到抗浮要求后,方可停止降低地下水的措施。

5.3.3 埋地敷设的供水管道应按柔性管采用士弧基础进行施工,并应符合下列要求:

1 对一般土质,应在管底以下原状土地基或经回填夯实的地基上铺一层厚度 100mm 的中粗砂基础层。基础层密实度应为 85%~90%。 采用原状土地基时,地基不得受扰动;

2 槽底为岩石或有可能损伤管材的坚硬地基时,应按设计要求施工;无设计要求时,管底应铺设砂垫层,厚度宜为 150mm~200mm。

3 当沟槽基底遇有松软地基、流沙、溶洞、墓穴等地基承载力小于设计要求的支承强度或地基承载能力降低时,应与设计单位商定地基处理措施,对地基进行加固处理,在达到规定的地基承载力后,再铺设中粗砂基础层。

4 管道地基处理宜采用砂桩、块石灌注桩等复合地基处理方法。不得采用打入桩及混凝土垫块、混凝土条基等刚性地基处理措施。

5.3.4 管道的铺设应符合下列要求:

1 搬运管材下管时,应轻抬、轻放,严禁在沟槽内拖拉、滚动或用铲车、叉车、拖拉机牵引等搬运管材。

2 铺管时沟槽内不得存水,不得泡槽或沟槽土受冻。管道接口部位的管底凹槽,宜在铺管时随挖随铺。凹槽长度可按接口长度确定,深度可采用 50mm~100mm,宽度不宜小于管道外径。在接口完成后,立即用中粗砂将凹槽部分回填密实。

5.3.5 管道连接时应对连接部位的承口、插口、U 型胶圈、电热熔区 清理干净,不得附有土、水和其他杂质。法兰连接采用的活套法 兰、螺栓等金属制品,应根据现场土质采取防腐蚀措施。

5.3.6 埋地管道宜在沟槽内自然弯曲敷设。

5.3.7 埋地管道安装后应复测管道高程,合格后方可进行回填。

5.3.8 管道沟槽回填施工应符合下列要求

1 进行管密闭检验前,除接头部位可外露外,管道两侧和管顶以上的回填高度不宜小于 05m;密闭性检验合格后,应及时回填其余部 分。2 管道沟槽回填时,沟槽内应无积水和杂物,不得带水回填,回填时不得损伤管道及管道附件。槽底至管顶以上 700mm 范围内,不得回填淤泥、有机物、超过允许粒径的砖石等硬块。管顶以上 300mm 范围内硬块允许粒径应小于10mm:300mm~700mm 范围内硬块允许粒径应小于 50mmo 冬季回填时,管顶 700mm 以上范围可均匀掺入冻土,但其数量不得超过回填土总体积的 15%,且冻土块的最大尺寸不得超过100mm。

3 沟槽回填应从管道两侧同时对称进行,逐层夯实,确保管 道不产生位移。必要时宜采取临时限位措施,防止管道移动或上浮。每层回填土厚度应按压实工具和压实度确定。常用压实工具的回填土厚度可按表 5.3.8 选用。

表 5.3.8 常用压实工具的回填土厚度(mm)

4 从管底基础到管顶以上 0.7m 范围内,必须采用人工回填,严禁用机械推土回填,可采用木夯或轻型压实设备;管顶 07m 以上沟槽采用机械回填时应从管轴线两侧同时均匀进行,可采用普通压路机压实:1.0m 以上可用振动式压路机夯实。每层回填土的压实遍数,应按设计要求的压实度、使用的压实工具、覆土厚 度和含水量,经现场试验确定。管道两侧腋角部位应按每层 150mm 人工投填,并逐层夯实至设计要求密实度。

5 当设计无要求时,沟槽回填土的密实度应符合下列规定:

1)对管底基础层,应按本规程第 5.3.3 条第 1 款的规定回填。

2)管底点到管底以上 0.3 么的管底腋角部位,应采用中、粗砂回填,密实度不应小于 93%。

3)管角部位以上至管顶两侧范围内,密实度不应小于 90%,可采用符合密实度要求的沟槽挖土。当沟槽土不能达到密实度要求时,应采用中、粗砂回填。

4)管顶以上 0.5m 范围内,管项上部回填土的密实度不应小于85%.管顶上部两侧不应小于 90%。

5)管顶 0.5m 以上范围内,可按地面或道路要求的密实度回填,但不宜小于 80%。

5.3.9 当管道覆土较浅,或压实工具的载荷较大,或以原土回填达不到要求的密实度时,可与设计协商采用石灰土、砂砾、石粉等结构强度较高的其他材料回填。

5.3.10 管道敷设时,管材和管件等外壁上的标识应位于管道顶面。埋地管道覆土后,宣在地面设置标志,标明暗管的位置和走向。

5.3.11 管道用于埋地消防时应符合现行国家标准《消防给水及消火栓系统技术规范》GB50974 中的相关规定。

5.4 架空敷设

5.4.1 管道在管廊内、室外、室内等场所架空敷设时,应按设计要求布置固定或滑动支吊架。管道支吊架应设 U 形支承座。U 形支承座的长度宜为 06dn~0.8dn,对管底形成的弧形包络长度不宜小于管材周长的 1/4。管材与支撑座之间应铺垫厚度不小于 5mm 的柔性衬垫。

5.4.2 架空管道可在管架附近的地面连接。管道上架前应先检查管道支吊架是否符合设计要求。采用临时支架支撑的,应确保临时支架牢固,且不得占用正式支吊架位置。临时支吊架在试压前应更换为正式支吊架。

5.4.3 管道支架布管时,应符合设计要求,并逐根布置,不得将管道集中堆放于某一框架或管廊上。

5.4.4 无热位移的架空管道,吊杆应垂直安装;有热位移的管道,吊点应设在位移的相反方向,并按位移值的 1/2 偏位安装。两根热位移相反或位移值不等的管道不得使用同一吊杆。

5.4.5 支吊架的型式、材质、加工尺寸、制造质量和防腐蚀要求等应符合国家现行有关标准的规定。

5.4.6 支吊架应按设计要求安装牢固,管道位置和坡度应正确。立管支架(管卡)应锚固在墙体或立柱内。当房屋结构为非承重墙体时,应在立管位置设置安装和锚固支架用的支承构件。横管吊 架可锚固在楼板、梁和屋架上:横管托架应锚固在墙体内。

5.4.7立管支架的承载力必须大于其支承长度范围内的立管自重和管内水重。在多层房屋中,不得将上层立管的重量作用在下 层的立管支架上。

5.4.8 管支架的间距应满足立管垂直度要求,支架间最大距离应符合下列规定:

1 当 dn≤200mm 时,不得大于 2.4m;当 dn>200mm 时,不得大于3.0m.

2 多层房屋内每层不得少于 1 个支架,与楼面的距离不宜小于0.6m。

5.4.9 立管上连接弯头、三通、四通和异径管等管件的部位应安装支架。支架的承载力应大于由管道设计内压产生的轴向推力。支架宜安装在管道接头和管道上安装管件部位的下方。

5.4.10 水平管道的支吊架最大间距应按表 5.4.10 确定。

表 5.4.10 水平管道的支吊架最大间距

5.4.11 水平管道的支吊架宜安装在管道接头的一侧。水平管道上连接弯头、三通、四通和异径管等管件的部位,应按管道设计内压产生的轴向推力在管件两端设置能防止管道水平位移的固定吊架(托架)。当水平管道长度大于 12m 时,每 12m 应设置防止管道横向位移的支吊架。

5.4.12 立管、水平管道与墙、板等构件以及其他管道的最小距离,不得小于安装和检修承插式 U 型胶圈电熔双密封聚乙烯复合管道需要的最小空间。安装管道用的支吊架(托架)宜采用管材生产厂提供的配套产品。

5.4.13 立管、水平管道的支吊架不得设在管道的接头或管件处,支吊架(托架)距管道上接头和管件外边的净空不得小于安装支吊架需要的最小距离。

5.4.14 管道架空或明设时应采取防紫外线保护措施。

5.5 水下埋设

5.5.1 在江、河、湖水下埋设管道的施工方案及设计文件应报河道或水利管理部门、航运交通管理部门等审查批准,施工组织设计应征得河道或水利管理部门、航运交通管理部门等同意。

5.5.2 主管部门批准的对江、河、湖的断流、断航、航管等措施应预先公告。

5.5.3 工程开工时,应在埋设管道位置的两侧水体各 50m 距离处设置警戒标志。

5.5.4 施工时应符合水上水下作业安全操作规程。

5.5.5 管槽开挖前,应测出管道轴线,并在两岸管道轴线上设置固定醒目的岸标。施工时岸上设专人用测量仪器观测,校正管道施工位置。

5.5.6 两岸应设置水尺,水尺零点标高应经常校检。

5.5.7 沟槽宽度及边坡坡度应符合设计要求:当设计无要求时,沟槽宽度及边坡坡度应根据水底泥士流动性和控沟方法确定,但最小沟底宽度不应小于管道外径加 1m。

5.5.8 管道下水前应在岸上预先连接成管段,宜减少过河管段的接头数量。在沟边预制、横向移动下水时,应多点起吊,控制管道弯曲半径应符合本规程第 4.1.4 条的规定:在管沟延长线上预制、纵向牵引下水时,预制长度不宜超过 400m。预制管段长度应比 水下长度超出至少 20m,试压合格后方可移至水面进行沉管作业。

5.5.9 沉管时应从管道一端灌水入管,使管段顺次沉没。沉管就 位后,应及时回填,并将管道两端封堵。

5.5.10 管道在河庆下埋设深度应符合设计要求。当设计无要求时,对于无通航河道,管道应埋设在河床扰动层以下,管顶与扰动层距离不应小于 1m:有船舶航行的河道,管顶与扰动层的距离不得小于 2m。

5.6 水压试验、冲洗、消毒

5.6.1 管道工程敷设和安装完毕后,宜分段进行系统水压试验。分段试压管段的长度不宜大于 1.0km。对于无法分段试压的管道,应根据工程一具体情况确定。

5.6.2 水压试验前,应做好下列准备工作:

1.管道系统安装完毕,外观检查合格,并符合设计要求和管道安装施工的有关规定;

2.埋地管道的坐标标高、坡度和管基、垫层、止推墩、支撤和锚固设施等经复查合格,试验用的临时加固措施经检查确认安全可靠,除接口部位(长度 10m)外其余已回填,回填土厚度大于500mm:

3 支吊架安装完毕,配置正确,紧固可靠;管线施工临时用的夹具、支吊架、堵板、盲板等已清除;管道上的伸缩节已设置了临时约束装置

4 试验管段上的所有连接部位均便于检查,所有敞口均应封闭,不得有渗漏水现象;

5 试验管段不得包括水锤消除器、室外消火栓等管道附件,系统包含的各类阀门应处于全开状态:不能参与试验的系统、设备、消火栓、安全阀、仪表及管道附件等应可靠隔离,不得用阀门作为封堵;

6 进、排水管路和排气孔应合理布置

7 管内垃圾、杂物应清理干净,管道应进行充水浸泡,时间不少于 12h;

8 采用弹簧压力计时,精度不应低于 15 级,最大量程应为试验压力的 1.3~1.5 倍,表盘直径不宜小于 150mm,且压力表不得少于 2块,使用前应经校正并具有符合规定的检定证书。5.6.3 管道试压应采用洁净的水源。注水前在试验管段上游的 管顶及管段中的高点应设置排气阀,向管道内注水应从下游缓慢注入,将管道内的气体排除。冬季进行压力管道水压试验时,应采取防冻措施。

5.6.4 管道升压时,管道内的气体应排除:升压过程中,当发现弹簧压力计表针摆动、不稳、且升压较慢时,应重新排气后再升压。

5.6.5 管道应分级升压,每升一级应检查管道后背、支墩、管身及接口,无异常现象时再继续升压。

5.6.6 水压试验过程中,应划定禁区,无关人员不得进入,后背顶撑和管道两端不得站人。

5.6.7 水压试验时当发现泄漏时,不得带压修补缺陷:遇有缺陷 时应做出标记,并在泄压后修补。应在缺陷消除后重新进行试验。

5.6.8水压试验静水压力的最低压力值不得小于管道系统的最大设计内水压力,不得用气压试验代替水压试验。

5.6.9 埋地承插式 U 型胶圈电熔双密封聚乙烯复合管道的水压试验应分预试验阶段和主试验阶段两个阶段进行。

5.6.10 埋地承插式 U 型胶圈电熔双密封聚乙烯复合管道水压预试验阶段应按下列步骤进行:

1 将试压管道内的水压降至大气压,并持续 60min 期间应确保空气不进入管道;

2 缓慢地将管道内水压升至试验压力并稳压 30min.期间如有压力下降可注水补压,但不得高于试验压力。检查管道接口、配件等处有无渗漏现象。当有渗漏现象时应中止试压,并查明原因采取相应措施后重新组织试压;

3 停止注水补压并稳定60min当60min后压力下降不超过试验压力的 70%时,则预试验阶段的工作结束。当 60min 后压力下降不超过试验压力的 70%时,应停止试压,并应查明原因采 取相应措施后再组织试压。

5.6.11 埋地承插式 U 型胶圈电熔双密封聚乙烯复合管道水压主试验阶段应按下列步骤进行:

1 在预试验阶段结束后,迅速将管道泄水降压,降压量应为试验压力的 10%~15%.期间应准确计量降压所泄出的水量ΔV,当ΔV 大于ΔVmax 时,应停止试压,泄压后应排除管内过量空气,再按本规程

第 5.6.10 条第 2 款开始重新试验。允许泄出的最大水量△Vmax 可按下式计算:

式中:△Vmax—允许泄出的最大水量(L);

V—试压管段总容积(L);

△P—过压管段降压量(MPa);

Ew—水的体积模量(MPa),不同水温时 Ew 值可按表 5.6.11 选用;

Ep—管材弹性模量(MPa),与水温及试压时间有关;

dj—管材计算内径(m);

e—管材公称壁厚(mm)。

表 5.6.11 不同温度下水的体积模量

2 每隔 3min 记录一次管道剩余压力,应记录 30min。当 30min 内管道内剩余压力有上升趋势时,水压试验结果合格。

3 30min 内管道内剩余压力无上升趋势时,应再持续观察 60ming当在整个 90min 内压力下降不超过 0.02MPa.则水压试验结果合格。

4 当主试验阶段不能满足本条第 2 款和第 3 款时,水压试验结果不合格,应查明原因采取相应措施后再组织试压。

5.6.12 埋地 U 型胶圈电熔双密封聚乙烯增强型复合供水管道的水压试验要求和现场水压试验设施、装置和试验方法,可按现行协会标准《埋地硬聚氯乙烯给水管道工程技术规程》CECS17 和国家标准《给水排水管道工程施工及验收规范》GB50268 等的规定执行,并应符合

下列规定:

1 当管道长度大于 500m、管径 dn 不小于 200mm 时,水压试验应采用测定管道渗水量的方法判定,系统的补水量 Q 不得大于 按公式 (5.6.12)计算的最大值。

Q≤0.4·dj·Pt(5.6.12)

2 当管道长度小于 500m、dn 小于 200mm 时,水压试验可采用压力降方法。压力降方法试验结果应符合下列规定:

1)供水管道在试验压力 P(MPa)作用下稳压 lh 压力降不得大于 0.05MPa;

2)然后在 1.15 倍工作压力 Pw(MPa)作用下稳压 2h 压力降不得大于 0.03MPao

5.6.13 架空敷设的供水管道系统的水压试验可采用压力降方法,按本规程第 5.6.12 条第 2 款的规定执行。

5.6.14 埋地供水管道试压合格后应按本规程第 5.3.8 条的要求,全面回填到与地面相平。

5.6.15 供水管道系统试压合格后,在竣工验收前,应对系统进行冲洗、消毒,不得留有死角。

5.6.16 供水管道系统冲洗、消毒时,在系统的最低点应设放水口。

冲洗水应清洁,浊度应小于 5NTU,冲洗流速应大于 L0m/s,冲洗时间控制在冲洗出口处排水的水质与进水相一致为止。

5.6.17 生活供水系统冲洗后,应用有效氯浓度为 20mg/L~30mg/L 的清洁水灌满管道进行浸泡消毒 24h 以上,不得留有死角。管道消毒后,应再次冲洗,并采取末端取水检验方式。当水质不合格时,应重新消毒、冲洗,直至取样检验合格为止,方可交付使用。

6 验收

6.0.1 管道工程应在竣工验收合格后方可投入使用。

6.0.2 工程验收应包括下列内容:

1 施工单位在工程完工后,对工程质量自检合格,检验记录完整,并提出工程竣工报告;

2 工程资料齐全;

3 有施工单位签署的工程质量保修书:

4 监理单位对施工单位的工程质量自检结果予以确认。

6.0.3 隐蔽工程验收,应包括下列各项内容,并应填写中间验收记录。

1 管材、管件、附属设备进场检查;

2 管道及附属构筑物的地基和基础;

3 管道支墩设置,井室等构筑物的砌筑情况;

4 弯头、三通等管件的连接,穿井室等构筑物,金属阀门防腐等;

5 管道穿越铁路、公路、河流等工程的情况;

6 地下管道的交叉处理;7 管道分段水压试验;

8 管道回填土压实系数检验记录;

9 随管道埋地铺设的示踪线及警示带的记录和资料;10 管道消毒后水质检验报告。

6.0.4 工程竣工验收应由建设单位组织,可按下列程序进行:

1 工程完工后,施工单位应按本规程第 6.0.2 条的要求完成验收准备工作,并向监理单位提出验收申请。

2 监理单位对施工单位提交的工程竣工报告、竣工资料及其他材料进行初审,合格后向建设单位提出验收申请。

3 建设单位组织设计、监理及施工单位对工程进行验收。

4 验收合格后,各个单位签署验收纪要,建设单位及时将竣工资料、文件归档。

5 验收不合格,应提出书面意见和整改内容,签发整改通知,限期完成。整改完成后重新验收。整改书面意见、整改内容和整改通知单应编入竣工资料文件中。

6.0.5 竣工资料的收集、整理工作应与工程建设同步,工程完工后应及时做好整理和移交工作。整体工程竣工资料宜包括下列内容:

1 工程项目建设合同文件、招投标文件、设计变更文件、工程量清单;

2 图纸会审记录、技术交底记录、施工组织设计等;

3 开工报告、竣工报告、工程变更单、工程保修书等

4 材料及设备等的出厂合格证明、试验记录、材质书、检验报告、相关技术参数的设备卡等;

5 施工记录:测量记录、隐蔽工程验收记录及有关资料、沟槽及回填合格记录、焊接记录、管道功能性试验记录、阀门试验记录等;

6 冲洗及消毒后水质化验报告;

7 竣工图纸;

8 重大质量事故分析及处理报告、工程质量事故处理记录、工程质量评定记录等;

9 在施工中受检的其他合格记录。

附录 AU 型胶圈电熔双密封聚乙烯复合供水管材的规格尺寸

A.0.1 承插式 U 型胶圈电熔双密封聚乙烯复合管规格应符合表 A0.1

的规定。

表 A.0.1 承插式 U 型胶圈电熔双密封聚乙烯(PE)复合供水管材规格尺寸

 

A.0.2 承插式 U 型胶圈电熔双密封钢丝网骨架聚乙烯复合管材规格应符合表 A.0.2 的规定。

表 A.0.2 承插式 U 型胶圈电熔双密封钢丝网骨架聚乙烯复合管材规格尺寸

A.0.3 承插式 U 型胶圈电熔双密封孔网钢带聚乙烯复合管材规格尺寸 应符合表 A.0.3 的规定。

表 A.0.3 承插式 U 型胶圈电熔双密封孔网钢带聚乙烯复合管材规格尺寸

附录 B 承插式 U 型胶圈电熔双密封聚乙烯复合管材

增强钢丝最少条数和最小直径

表 B 承插式 U 型胶圈电熔双密封聚乙烯复合管材增强钢丝最少条数和最小直径

 

附录 C 承插式 U 型胶圈电熔双密封复合管件的规格尺寸

C.0.1 承插式 U 型胶圈电熔双密封 90°弯头规格尺寸应符合表 C.0.1 的规定。

表 C.0.1 承插式 U 型胶圈电熔双密封 90°弯头规格尺寸表(mm)

C.0.2 承插式 U 型胶圈电熔双密封三通规格尺寸应符合表 C.0.2 的规定。

表 C.0.2 承插式 U 型胶圈电熔双密封三通规格尺寸表(mm)

C.0.3 承插式 U 型胶圈电熔双密封异径直接规格尺寸应符合表 C.0.3 的规定。

表 C.0.3 承插式 U 型胶圈电熔双密封异径直接管件规格尺寸表(mm)

C.0.4 承插式 U 型胶圈电熔双密封法兰接头规格尺寸应符合 C.0.4 的规定。

表 C.0.4 承插式 U 型胶圈电熔双密封法兰接头规格尺寸表(mm)

C.0.5 锻打法兰片规格尺寸应符合表 C.0.5 的规定

表 C.0.5 钢法兰片规格尺寸表(mm)

C.0.6 胶圈电熔双密封等径直管件规格尺寸应符合表 C.0.6

表 C.0.6 胶圈电熔双密封等径直管件规格尺寸表(mm)

附录 C 承插式 U 型胶圈电熔双密封复合管件的规格尺寸

C.0.7 承插式 U 型胶圈电熔双密封 45°弯头规格尺寸应符合表 C.0.7 的规定。

表 C.0.7 承插式 U 型胶圈电熔双密封 45°弯头规格尺寸表(

mm)

附录 D 胶圈电熔双密封聚乙烯复合供水管道水力计算

内径

 

附录 E 单位管长沿程阻力损失水力计算表

表 E.0.1 公称外径 dn50 承插式 U 型胶圈电熔双密封聚乙烯复合管道单位管长沿程阻力损失水力计算

续表 E.0.1

注:

一管道设计流量,单位 m3/h、L/s;PN 一管道出厂标示的公称压力,单位为 MPa;dn 一公称外径,单位为 mm;dj 一管道计算内径,单位为 mm,v

一流速,单位为 m/s;i 一单位管长沿程阻力,单位为 mm/m 水柱压力。

2 管内流速计算范围为:公称外径小于 L160 的管道,为 0.3-2.0m/s:公称外径为 dn160~dn250 的管道,为 0.4~2.5m/s;公称外径大于 dn250 的管道,为

0.4-3.0m/s;

3 管道内水温按 10℃考虑。

表 E.0.2 公称外径 dn63 承插式 U 型胶圈电熔双密封聚乙烯复合管道单位管长沿程阻力损失水力计算

续表 E.0.2

表 E.0.3 公称外径 dn75 承插式 U 型胶圈电熔双密封聚乙烯复合管道单位管长沿程阻力损失水力计算

续表 E.0.3

表 E.0.4 公称外径 dn90 承插式 U 型胶圈电熔双密封聚乙烯复合管道单位管长沿程阻力损失水力计算

续表 E.0.4

表 E.0.5 公称外径 dn110 承插式 U 型胶圈电熔双密封聚乙烯复合管道单位管长沿程阻力损失水力计算

续表 E.0.5

表 E.0.6 公称外径 dn140 承插式 U 型胶圈电熔双密封聚乙烯复合管道单位管长沿程阻力损失水力计算

续表 E.0.6

表 E.0.7 公称外径 dn160 承插式 U 型胶圈电熔双密封聚乙烯复合管道单位管长沿程阻力损失水力计算

续表 E.0.7

表 E.0.8 公称外径 dn200 承插式 U 型胶圈电熔双密封聚乙烯复合管道单位管长沿程阻力损失水力计算

续表 E.0.8

表 E.0.9 公称外径 dn225 承插式 U 型胶圈电熔双密封聚乙烯复合管道单位管长沿程阻力损失水力计算

续表 E.0.9

表 E.0.10 公称外径 dn250 承插式 U 型胶圈电熔双密封聚乙烯复合管道单位管长沿程阻力损失水力计算

续表 E.0.10

表 E.0.11 公称外径 dn315 承插式 U 型胶圈电熔双密封聚乙烯复合管道单位管长沿程阻力损失水力计算

表 E.0.12 公称外径 dn355 承插式 U 型胶圈电熔双密封聚乙烯复合管道单位管长沿程阻力损失水力计算

续表 E.0.12

表 E.0.13 公称外径 dn400 承插式 U 型胶圈电熔双密封聚乙烯复合管道单位管长沿程阻力损失水力计算

续表 E.0.13

表 E.0.14 公称外径 dn450 承插式 U 型胶圈电熔双密封聚乙烯复合管道单位管长沿程阻力损失水力计算

续表 E.0.14

表 E.0.15 公称外径 dn500 承插式 U 型胶圈电熔双密封聚乙烯复合管道单位管长沿程阻力损失水力计

续表 E.0.15

表 E.0.16 公称外径 dn560 承插式 U 型胶圈电熔双密封聚乙烯复合管道单位管长沿程阻力损失水力计

续表 E.0.16

表 E.0.17 公称外径 dn630 承插式 U 型胶圈电熔双密封聚乙烯复合管道单位管长沿程阻力损失水力计

续表 E.0.17

表 E.0.18 公称外径 dn710 承插式 U 型胶圈电熔双密封聚乙烯复合管道单位管长沿程阻力损失水力计

续表 E.0.18

表 E.0.19 公称外径 dn800 承插式 U 型胶圈电熔双密封聚乙烯复合管道单位管长沿程阻力损失水力计

续表 E.0.19

承插式 U 型胶圈电熔双密封聚乙烯复合管供水管道工程技术规程

1 总 则

1.1 承插式 U 型胶圈电熔双密封聚乙烯复合管道材、管件的所有接口均釆用双密封双保险接口工艺。第一道密封采用 U 型胶圈,第二道密封釆用能将管材与管件接触面熔接成整体的电热熔。胶圈密封连 接结合电热熔克服了单一 U 型胶圈接口易脱节、沉降荷载低、易轴向位移、抗 水推差等不足,并减少对加固承台的依赖。外侧结合电 热熔解决了外 环境对 U 型胶圈寿命影响。U 型胶圈同时也弥补了普通电热熔易受人为、 施工环境、易位移、承入深度浅、繁杂施工工序等 造

成的局部虚熔接。 胶圈、电熔两种密封措施相结合,增加了有效 接触面插入深度,起到较 强的性能互补并弥补了各自的不足,配合 防位移安全区,大幅增强管道 系统接口安全。

1.2 复合管材、管件根据不同用途及使用压力,分钢丝型和孔网钢 板型两种设计,钢丝型管道采用高强度增强材料左、右螺旋至先制成的芯管上,再采用树脂将增强材料复合至芯管后,外层树脂同步 一次挤出复合成型,分金属增强和非金属增强。

1.3 孔网钢板型管材采用金属薄板制成与钢板骨架增强管道强度及耐热性,架空性。

1.4 管材、管件特性具有光滑低阻、质量轻、搬运方便、柔韧性 好、 弯曲半径小、寿命长、卫生无毒、承载压力高等塑料管和金属管 具备的 优点,并克服了塑料管和金属管的不足。承载压力 60%〜 70%由高强度 增强材料承担,根据管材、管件承载压力等级对应调 整增强材料的直 径、数量、增强层数及金属板厚。管材壁厚变化较 小,管件内径无变化, 确保承载压力的同时对流量的影响也较小。 在管材选型时,压力较小的管道工程可用无增强普通型管材、管件,节约了社会资源,减少了用管成本。

1.5 管材采用带有 U 型胶圈的电熔直接承插焊接,施工时管材与管材直接连接,不需另配直接管件。配套的各种电熔双密封直接、弯头、变径、三通、法兰等管件型式多样,采用正负极插柱焊接,与不同材质的管道和阀门采用法兰连接。管材与管件、管件与管件可直接连接,安装非常

便捷,解决了电热熔管件、PP—R 管件、承插式 U 型胶圈电熔双密封聚乙烯复合管 管件、PVC 管件等众多管件与管件不能直接连接的弊端,如电熔管件相互连接,不需通过短管连接,安装方便,解决了施工慢的问题,降低了施工的工作量和成本,也减少了接口风险隐患。U 型胶圈申

熔双密封管件,大幅减少接口数量的同时,每个接口均采用双密封双保险工艺,解决了连接工艺单一带来的安全隐患。承压范围 0.6MPa 一

5.0MPa 也可根据使用要求生产更高的特殊压力管道。U 型胶圈电熔双密封聚乙烯复合管材、管件确保管道系统安全运行,给生产、生活带来双重安全保障。

1.6 承插式 U 型胶圈电熔双密封聚乙烯复合管道材、管件技术先进、规格齐全,是塑料供水管道工程技术研发进程中的关健突破和技术创新,引领塑料供水管道工程技术升级换代,符合“四节一环保”基本国策的政策导向。承插式 U 型胶圈电熔双密封聚乙烯复合管材、管件已在国内建筑、市政、埋地消防管道等工程中得到应用,效果良好。为了在管道工程中推广应用,做到在设计、施工中确保工程质量,制定了本规程

1.7 聚乙烯具有耐大多数生活和工业用化学品的优良特性。输送含有酸、碱、盐等腐蚀性物质介质时,设计应了解介质对管道的腐蚀作用,管道对介质的腐蚀性范围和条件可由生产厂家提供。管道输送卤水和以水为载体的固液混合物时,固体颗粒应小于 80 目,在经济流速下的体积浓

度不宜超过 45%。资料显示,高密度聚乙烯耐磨性是普通碳钢的 4 倍以上,但在实际应用中,由于工况不同,管道的耐磨表现有很大差异。通常认为,塑料管道的磨损受介质中固体颗粒的粒径、形态(锐度)、硬度、流速、浓度等影响,因素很复杂。根据实际应用经验,在尾矿排放工程

中应用聚乙烯复合管,在设计流速(2~3)m/s,固体含量 50%条件下,管道耐磨性优良,寿命比钢管提高至少一倍,服役期最长的管道已经达到 10 年。但是,在山区使用聚乙烯复合管输送尾矿时,如果沿流动方向陡降,会造成管道内介质因重力作用显著加速,形成非满管流态,流速可能达到每秒数十米,管道会发生急剧磨损,寿命下降到数月。因此,设计浆体输送管道时,应选择合理路径,或注意利用地形,使管道在快速下降后有一段 U 形抬升,利用连通器原理阻缓管内介质加速。另外,“经济流速”在不同行业和不同工况条件下的取值不同。对浆体输送管道,为

了避免固体颗粒沉降,应保持流速不低于临界值,该临界值又受颗粒尺寸、密度、浓度的影响,通 常粒径在 80 目以下的浆体临界流速约为 2m/s。在满足临界流速前提下,采用较低的流速有利于减少输送能耗,比较经济,而且有 利于提高管道耐磨寿命。有些小的固体颗粒容易发生团聚,例如盐湖(田)采卤,可能将湖底沉积的混合盐矿以球块状送入输卤管道。团聚体尺寸虽然较大,但密实度通常较低,其对管辟的磨损能力大于未团聚的微粒,但又显著低干等大的实心团块。因此,应控制管道磨浆机的出口粒径,并适当增加管道内壁耐磨厚度。由于缺乏足够的理论数据,设计时应充分调研实际应用经验选材。

2 术语和符号

2.1 术语

2.1.1 本术语明确 U 型胶圈电熔双密封接口结构,以区分行业内采用单一的电热丝、热熔、胶圈、粘接、法兰、卡箍等接口方式。

2.1.2 管材一端口具有胶圈电熔双密封结构承口,管材由两种或两种以上不同特性材料复合而成。中间增强材料有金属丝增强、非金属丝或非金属带增强。非金属增强材料有:高强度电熔丝。金属增强材料有:高强度钢丝。增强层根据使用需要,可增强两层或两层以上。包括钢丝增强

聚乙烯复合管、孔网钢带增强聚乙烯复合管等。

2.1.3 采用孔网钢带或不锈钢材质,制成两头带法兰,内设环形槽可装入橡胶密封胶圈。将膨胀系数不同的塑料管材插入胶圈电熔双密封管件内,由橡胶密封圈密封,再结合电熔活套法兰与孔网钢带紧固再密封,可解决不同膨胀系数材质的管道相互连接隐患。

3 管材和管件

3.1 一般规定

3.1.1 本条明确了管材、管件执行的产品标准以及用于生活供水 时应遵照的卫生标准。

承插式U型胶圈电熔双密封聚乙烯复合管道所用聚乙烯材料应符合现行国家标准 GB/T32439-2015、给水用聚乙烯(PE)管材《GB/T13663.3-2018 《给水用聚乙烯(PE) 管道系统第 3 部分:管件》的要求。生产管材和管件时所产生的洁净回用料,破碎或重新造粒后可少量掺入同种新料中

使用,回用料在整个塑料原料中的比例不应超过 5%。

3.1.2 U 型胶圈电熔双密封管道接口,是由承口内靠外侧电热元件组成的电热熔区,端口内侧设有可装入 U 型胶圈的凹槽,在止口与胶圈槽之间设有防位移安全区。管道第一道密封采用 U 型胶圈,第二道密封采用电热熔,两种密封措施相结合实现双密封,并通过位移安全区防范人为

及环境温差产生的位移,减少对接口的影响。

3.1.3 为保证管道系统具有一致的承压能力、装配质量、配合精度,以及焊接可靠性,通常管材、管件宜选用同一生产商配套产品。目前国内有多个厂家生产多种形式的塑料复合管,所采用的结构和标准互有差异。为便于工程质量追溯,管材、管件上,应有产品标识信息标明产品名称、生产厂名称或商标、执行标准的编号、规格和型号,应在生产厂制造时印上,不得在施工现 场制作。管材、管件出厂时应具有产品质量检测报告、出厂合格证、使用的原材料级别和牌号说明。

3.2 管材

3.2.1 承插式 U 型胶圈电熔双密封聚乙烯复合管管材带有胶圈电熔双密封承口,管材本体增强形式与钢丝网骨架塑料(聚乙烯)复合管材一致,属同类管材。但与国家现行标准《钢丝网骨架塑料(聚乙烯)复合管材及管件》CJ/T 189-2007 中用于供水或特种流体的管材制造要求相比,用于给水排水工程的胶圈电熔双密封聚乙烯金属增强型复合管材所配的钢丝数量和钢丝截面积均有很大幅度的增加,并根据实验和实际需要增加了部分管材的壁厚,因此,不仅管道的接口,包括管材本身的安全可靠性都得到了明显提高,可有效地解决常规承插式 U 型胶圈电熔双密封聚乙烯复合管材在使用过程中存在的爆管、漏水、难以进行打压试验等 问题,能更好地避免在负压、埋地承受荷载等不利条件下由于环刚度过低而产生的严重变形问题,为与目前按 CI/T189-2007 规定生产的常规钢丝网骨架塑料(聚乙烯)复合管材有所区别,特采用胶圈电熔双密封聚乙烯金属增强型复合管材的名称。由于具有材料性质更为接近、结合度更好等特点,承插式 U 型胶圈电熔双密封聚乙烯复合管的各项性能更优于具有相同公称压力等级的承插式 U 型胶圈电熔双密封聚乙烯复合管。

3.2.2 承插式 U 型胶圈电熔双密封孔网钢带聚乙烯复合管管材

钢板网厚度、孔穴分布率及孔径

复合管内外表面应光滑平整,允许有不影响使用的表面收缩和流纹,不允许有气泡、裂口、分解变色线及明显的划伤,管材两端切割平整。复合管端头封口环与管材融结良好,无裂缝,融结处平整,无划伤、毛刺。

3.2.3 承插式 U 型胶圈电熔双密封聚乙烯复合管道连接应符合下列规定:

1 承插式柔性连接、套筒(带或套)连接、法兰连接、卡箍连接等方法采用的密封件、套筒件、法兰、紧固件等配套管件,必须由管节生产厂家配套供应;电熔连接、热熔连接应采用专用电器设备、挤出焊接设备和工具进行施工;

2 管道连接时必须对连接部位、密封件、套筒等配件清理干净,套筒(带或套)连接、法兰连接、卡箍连接用的钢制套筒、法兰、卡箍、螺栓等金属制品应根据现场土质并参照相关标准采取防腐措施。

3 承插式柔性接口连接宜在当日温度较高时进行,插口端不宜插到承口底部,应留出不小于 10mm 的伸缩空隙,插入前应在插口端外壁做出插入深度标记:插入完毕后,承插口周围空隙均匀,连接的管道平直;

4 电熔连接、热熔连接、套筒(带或套)连接、法兰连接、卡箍连接应在当日温度较低或接近最低时进行;电熔连接、热焰连接时电热设备的温度控制、时间控制,挤出焊接时对焊接设备的操作等,必须严格按接头的技术指标和设备的操作程序进行:接头处应有沿管节圆周平滑对

称的外翻边,内翻边应铲平;

5 管道与井室宜采用柔性连接,连接方式符合没计要求;设计无要求时,可采用承插管件连接或中介层做法;

6 管系统设的弯头、三通、变径处应采用混凝土支墩或金属卡箍拉杆等技术措施:在消火栓及闸阀的底部应加垫混凝土支墩:非锁紧型承插连接管道,每根管节应有 3 点以上的固定措施;

7 装完的管道中心线及高程调整合格后,即将管底有效支撑角度范围用中粗砂回填密实,不得用土或其他材料回填。

4 设计

4.1 一般规定

4.1.1 承插式 U 型胶圈电熔双密封聚乙烯复合管材的公称压力是按照在20℃ 条件下、输送介质为水时确定的,当输送介质的温度发生变化时不同温度条件下所对应的管道公称压力按折减系数进行计算,可参考表2。

表 2 不同温度时管材公称压力变化的参考值

注:“一”表示没有适用于此条件的管道。

4.1.2 本条结合《室外给水设计规范》GB50268 的相关内容,为确保承插式 U 型胶圈电熔双密封聚乙烯复合管道系统的安全运行,作了规定。

管道系统运行中的设计内水压力为最大工作压力与最大水锤压力之和。

按产生水锤时管道内的水流状态,可分为水柱连续和水柱分离两种水锤情况,水柱分离的水锤情况属于非正常水锤现象,工程中必须采取有效的避免措施;对于水柱连续的水锤现象,属于系统运行中的正常水锤现象,应在设计中充分考虑。对于水柱连续的水锤现象,影响水锤大小主要因素为管道内的水流速度 和压力波回流速度,而压力波回流速度又与管材弹性模量、管道内 径、壁厚、管端固定度等因素有关。

4.1.3 增强型承插式 U 型胶圈电熔双密封聚乙烯复合管材可以弯曲敷设以适应管道局部的非标角度转向。但是增强型胶圈电熔双密封聚乙烯复合供水管材的增强纤维网结构限制了管材的弯曲柔性,因此管材的弯曲半径要求较大。如果管材在弯曲状态下还要承受额外负荷,例如在水平

定向钻施工中将管道拖过由线形的空洞,管将承受弯曲和拉伯的复合应力,应进一步加大管道弯曲半径。

4.1.4 为了避免热力管道长期对胶圈电熔双密封聚乙烯复合供水管材形成“伴热运行”,或者因热力管道破损而伤及胶圈电熔双密封聚乙烯复合供水管。设计时温度限定不超过 40℃,是指胶圈电熔双密封供水管通过“位置”的温度,而不是其实际运行温度。管道在更高温度条件下虽然仍可应用,但老化寿命会有较大缩短。

4.2 管道安装管道及配件的连接

钢丝网骨架聚乙烯复合管材的连接方式有:电熔连接(包括热熔与电热熔组合连接);法兰连接。同种管材采用电熔连接,与其他管材连接采用法兰连接。

4.2.1 管材切割及封口

承插式 U 型胶圈电熔双密封聚乙烯复合管管道按直管供货,标准长度12m。为避免储存、使用过程中加大钢丝腐蚀,在生产过程中已采用聚乙烯封口环对承插式U型胶圈电熔双密封聚乙烯复合管管道两端进行了封堵。在安装过程中应尽量避免切割管材。如需切割时,需要对管材切割面重新封口。当必须切割管材时,应采用机械方法切割。尽可能保证切割面平整,且应与管道轴线垂直,严禁用明火烧割。如果在管道末端出现明显的损坏或裂纹,请务必在破损处 50mm 以外将受损管段切割掉。

4.2.2 连接前的准备工作

如在沟底安装时,建议在连接处挖操作坑,坑深以方便操作为宜。承插式 U 型胶圈电熔双密封聚乙烯复合管管道外表存在氧化层,为保证焊接效果,应用专用工具刮除焊接表皮。一般刮削深度为 0.1~0.2mm,同时应标志好装配承插深度标记。用 95%以上的酒精或丙酮清洗管件焊接面,如发现个别管件焊接面有明显的油污或黏附其他有机污染物,建议采用汽油进行清洗。清理管道内及管件电容接头插孔时的泥沙,检查焊接面是否已擦干净。

4.2.3 电熔连接

4.2.3.1 检查并确认沟槽开挖符合设计要求

● 检查管道沟槽宽度应符合设计要求:

管道在地下连接时,一般槽底宽度不宜小于管外径 D+500mm,且总宽度不得小于 700mm;双管同沟敷设,沟边距相邻管道的距离应在0.3m 以上:

● 焊接处工作坑宽度应方便电热熔连接操作。宽度不够时应加宽;下管后工作坑如有误差应进修整,以防止损伤管道。

4.2.3.2 现场检查管材、管件质量

● 管件规格应对应管材的规格;

4.2.3.3 检查现场消防及安全防护措施

● 为防止焊接过程中的意外起火事故,应在焊接现场配备干冰灭火器、可移动橡胶自来水接管。如现场无自来水管设施,可用水桶盛水

备用;

● 在沿车行道、人行道施工时,应在管沟沿线设置安全护栏,并应设置明显的警示灯;

● 在繁华路段和城市主要道路施工时,宜采用封闭施工方式。

● 在交通不可中断的道路上施工,应有保证车辆、行人安全通行的措施,并设负责安全的人员。

4.2.4 检查电源电压

检查电源电压是否正常,一般为 220±20V 和 380;

4.2.5 检查焊机

检查焊机电源电压是否正常;正常时设置焊接参数;

4.2.6 布管

● 将管材抬至现场沿管沟摆放,管材之间保持首尾衔接;

● 管材抬放要用非金属绳吊挂,并做到轻松入沟,不允许在地上拖拽;抬大口径管材时,既要保护管材,又能要注意人身安全,防止发

生工伤事故。

4.2.7 试装

对管材、管件进行选配。将电熔接头用手推入管材端口试测间隙大小。如太大或太小可放置一边暂不使用,另选项电熔管件校合;如无选项择余地,过紧时应用手动乔削机具对管材进行乔削,直至正常配合。

4.2.8 划标记

用记号笔在被连接的两根管材上划记号。记号位置的确定方法如下:

● 测量管件的承插深度尺寸;

● 从管材端口开始,向前量取承插深度尺寸长度,在该处划上记号。记号要清晰醒目。

4.2.9 安装扶正器

● 将扶正器夹在管材上;

● 扶正器的两个卡环必须位于记号之后,以免影响管材承插不到位;

● 将扶正器的螺孔方向对正,拧紧其卡环螺母。

4.2.10 氧化层处理

● 刮前应用清洁毛巾将管材表面污物去掉;

● 用手刮刀或机械刮刀对标号内的焊接表面刮皮,以去除表面氧化层;De250-De200 管材宜采用手刮刀(或玻璃片),De250-De630 的管材由于表面积大,为提高效率,可用打磨机轻磨;

● 刮皮时,应均匀刮整个周边,面面俱到,不允许漏刮;刮起层长度应比划线处多出 2-5mm,以利自查及临界监督检查是否刮皮。

● 管件风壁由于布有铜丝,一般宜用于手工刮削。如大口径管件采用电磨及其打磨时,只能选择磨片轻轻打磨。

● 埋地安装时,允许大口径管材先在地面去氧化皮,用塑料布包好后入沟,再装扶正器。不过,应特别注意做好清洁工作。

4.2.11 清除内外残渣

刮去氧化皮后,要用清洁抹布或棉纱做好管材、管件刮削区域的内外表面的清洁,不允许有泥、油、磨削残渣等脏物附在表面。抹布在使用中弄脏时,要及时用清水洗干净后方可使用。

4.2.12 酒精(或丙酮)擦洗

为确保焊接区表面无油污、汗渍及其它有机物的污染,在用抹布进行清理后,要用酒精或丙酮进行擦洗,以确保焊接区表面是干燥、无尘、无油污的。

4.2.13 晾干

承插连接前,应保证管材、管件连接面试干燥无水渍的。如未晾干,焊接时易产生气泡,将严重影响焊接质量。

4.2.14 装配管件

● 看清待装管线走向,将其摆正,然后插入电熔接头;

● 可用木锤轻击电熔接头端部四周,将电熔接头打至标记处为止,装配时,严禁敲击电源接线柱;

● 管件(如直接头)一头装好后,将另一根已去氧化皮且做好了清洁的管材插入管件。如配合稍紧,可用木锤轻击,管材的标记处应正好进。入至管件端口;

● 在承插过程中,如果不小心将管材插入超过标记线,则应敲击管件退回至标记线;

● 用扶正器、手摇葫芦(拉紧器)辅助承插到位。

4.2.15 调整

● 管件装配后,应对管件的同心度、水平度进行调整;

● 用目测的方法,站在离管件较远的位置(至少两根管材长度的距离)进行观察,管件连接处的水平一般不超过 15°,过大时,应进行调整。

4.2.16 管件编号

为了质量追踪,责任到人,装好的管件要进行编号。编号由年、月、日和管件序号组成。

4.2.17 焊接

● 接电源

焊机电源采用 380V,应核对清楚。电缆引起线规格应与焊机功率想匹配,接线板上的电压值应在标准值士 10%之内;

● 试焊机

焊机的输出线插头与管件的接线柱连接好,不得有松动现象:如发现连接处松动,应更换铜接头。

● 开始焊接

启动焊机,按相应焊机操作规程说明书进行操作。一般应注意将输出调节旋钮逆时针调至零位;注意电压档位。缓慢调整电压、电流到设定值,一般以电压逐渐升高为准。尽快稳定电压、电流在工艺范围内。

● 调整参数

焊接时,因天气、配合间隙、材料差异造成影响时,应决定是否需要进行参数调整;如在焊接过程中出现异常(如电流突发上升),则需暂时再作处理;如果不能完成整套焊接参数,则需报废管件重新焊接。

● 记录参数

焊接时,应及时记录在案焊接参数,以便对质量进行跟踪分析。

● 拆卸插头

焊接完成后,将焊机输出线插头从管件接线柱上取下来,以准备焊接下一个管件(收工时,首先切断输入电源开关,再拔插头,将插头输出线装入线缆仓,盖上护盖)。

4.2.18 冷却

应保证在冷却过程中不受任何外力作用不得移动、转动接头部位及两侧管子。冷却时间与管径大小及气候条件有关,一般在 1—6 个小时之间。 特殊情况下需要加快工程进度时,可用冷水降温加速冷却,方能拆卸扶正器。

注:

● 现场焊接前,应预先进行焊接参数验证试验。如不能确保焊接质量,则应调整参数。

● 如需赶工程进度,可在同一沟槽内连续进行 3—4 个直接头连接 (加装扶正器),然后反方向依次进行电热熔焊接。

4.2.19 放置及固化时间

在焊接及冷却过程中,不得移动、转动接头及管道,不得在连接部位和管道上施加任何人为外力。建议焊接在布管和装配完成后进行。冷却及固化一般需要 3—4 小时,焊接部位手感无温度即可。

4.2.20 法兰连接

法兰连接是将两个法兰分别固定在需要连接的两个管端上。两个法兰之间应加垫片密封,用螺栓固定,组成管路系统。法兰连接的优点是具有可拆性,便于维修。法兰连接工艺:

4.2.21 核对法兰片

● 核对法兰片的种类、标准是否符合实际要求,特别要核对法兰的公称压力和公称直径。

● 核对法兰的紧固件螺栓、螺母、垫圈及密封圈是否符合设计要求。

4.2.22 检查和清理

● 检查法兰外形尺寸,包括外径、内径、坡口、螺栓孔径及数目、螺栓孔中心距,凸缘高度等。

● 检查法兰密封面。密封面应平整光洁、 无毛刺及径向沟槽。

● 检查螺栓与螺母。螺栓、螺母的螺纹应完整、无伤痕及毛刺等缺陷;螺栓与螺母应配合良好,无松动或卡涩现象。

● 密封圈应无老化变质和分层现象,表面不应有折痕、皱纹等缺陷,材质应与设计选定的相一致。

● 检查金属垫片。垫片的加工尺寸、精度、光洁度及硬度应符合要求,表面应无裂纹、毛刺、凹槽、径向划伤及锈斑等缺陷。

● 清除法兰表面及密封面上的锈斑、油污等杂物,直至露出金属光泽。法兰面的密封线应剔清楚。

4.2.23 活套法兰将活套法兰、电热熔法兰套在管材上,注意活套法兰的方向,防止装反。

4.2.24 管材找正连接前,应将管材在自然状态下找正。

4.2.25 装密封垫应将密封圈正确放入密封垫内。

4.2.26 装活套法兰将钢制活套法兰对接把紧,连接时不得漏件(垫圈、垫片)

4.2.27 目测法兰平面的水平状况目测法兰平面是否垂直于管中心线,两法兰平面应保持水平。

4.2.28 调整同心圆核对并调整法兰与管道的同心度;两法兰螺栓孔也应保持同心,便于螺

栓自由深入。

4.2.29 装紧固件

正确装上螺栓、垫圈、螺母。

4.2.30 拧紧螺丝

对角拧紧螺丝,用力要均匀,两个法兰片应保持平衡;反复多次拧紧,直至均匀拧紧螺丝。

4.2.31 检查安装质量

检查是否漏件、螺栓头部是否同侧、螺栓丝扣露出长度是否合适(一般露出长度不大于螺栓直径的一半,或露了出长度不小于 2mm):检查法兰端面是否完全贴合,且塑料是否发生局部塑性变形。

4.2.32 同其他管材之间的连接

4.2.32.1 与金属支架的接触

● 当采用金属支架时,为避免承插式 U 型胶圈电熔双密封聚乙烯复合管管道与金属支架直接接触,采用了 3mm 厚的半圆形橡胶垫将承插式 U 型胶圈电熔双密封聚乙烯复合管管道与金属管卡、弧形钢板隔开。

● 应在承插式 U 型胶圈电熔双密封聚乙烯复合管管道金属转换接头处金属配件侧增加额外的辅助支架,以保证对金属配件的支撑;在金属配件与复合管连接部位,管卡应设在金属配件一侧。

4.2.33 与其他材质管材的连接

承插式U型胶圈电熔双密封聚乙烯复合管管道厂商提供塑料塑料法兰及电熔法兰等转换配件,用户可根据具体情况灵活选取转换方式。

塑料法兰处严禁选用含金属材质的垫片,包括半金属垫片、金属垫片。一般情况下可选用聚乙烯垫片。两片法兰之间的连接需遵循以下规定:

● 当管道与法兰连接时,必须保持直线状态安装,以避免在安装过程中因非直线的偏移而对法兰产生应力。管道必须被固定并支撑以防止其产生横向偏移,进而对法兰产生破坏应力。

● 使用垫片时,法兰上的螺栓孔需对齐以保证安装(在管道连接之前需确认每一片法兰盘上孔的位置)

● 安装螺栓、垫圈(每个螺栓使用标准平垫圈)以及螺母。在安装螺栓之前,需确认有垫圈处的法兰连接面需保持平整。

● 用手拧紧螺母,按 180°的十字交叉顺序进行安装。拧紧过程中用力要均匀,反复将每个螺栓拧紧,使法兰接头端面完全贴合(密封垫片)处于压缩状态。保证塑料法兰不发生局部塑性变形为宜。

● 当管道与法兰凸面连接时,应避免法兰产生偏移或弯曲。不要使用与法兰不相匹配的螺栓进行连接。

4.2.34 与机械设备的连接

承插式 U 型胶圈电熔双密封聚乙烯复合管管道与机械设备连接时,建议在连接部位采用橡胶挠性接头,并在挠头靠近设备一侧设置固定设施,以避免设备振动对承插式 U 型胶圈电熔双密封聚乙烯复合管管道焊接部位产生破坏。同时建议承插式 U 型胶圈电熔双密封聚乙烯复合管管道不要以直管形式与设备、储罐、水池直接相连,建议采用“L”、“U” 形等自然转折的方式与设备、储罐、水池相连。具体做法请参照《压力容器设计标准》和本手册有关热膨胀及收缩的相关要求。

4.2.35 螺纹、沟槽连接严禁在承插式U型胶圈电熔双密封聚乙烯复合管管道上进行车削螺纹、轧槽等操作,因为尖锐切口会严重降低承插式 U 型胶圈电熔双密封聚乙烯复合管管的连接强度。

4.3 埋地承压给水管道安装及铺设

4.3.1 管道支墩

采用冷弯曲敷设承插式 U 型胶圈电熔双密封聚乙烯复合管管道时,应在沟槽内按弯曲方向浇筑固定管道弧度的混凝土或砖砌的固定墩。埋地管道在水平向或垂直向转弯处、改变管径处、三通、四通、弯头和安装阀门部位,应根据管道系统设计内水压力计算管道轴向推力。当其轴向推力大于管道外部土体的支承强度和管道纵向四周土体的摩擦力时,应在管道相应部分浇筑混凝士止推墩。止推墩可按相应管道设计规范的规定计算。在管道的水平和竖向线路转角处,应避免采用 90°弯头(可利用管道蛇形改变直角弯度)。固定墩、止推墩的设计计算和构造要求可参照 CECS17:2000《埋地硬聚氯乙烯给水管道工程技术规程》的有关条文。

4.3.2 管沟开挖

为了方便安装,管沟开挖宽度应满足施工要求,但也不要挖的过宽。管沟的最小宽度应满足以下条件:将管沟外焊接固化好的管道放置在管沟内(注:焊接固化时间需符合本手册的要求)。当管道在管沟内进行安装或考虑到热胀冷缩的因素时,管沟宽度可以适度扩大。

● 承插式 U 型胶圈电熔双密封聚乙烯复合管管道在充满介质的情况下,埋地敷设深度至少要在当地冰冻线以下。另外尚需考虑垂直土压、活载、内水压力等荷载对管道的影响。

● 如果承插式 U 型胶圈电熔双密封聚乙烯复合管管道被敷设在路面承重较大或交通繁华的地带,例如公路、铁路以下,推荐在承插式 U型胶圈电熔双密封聚乙烯复合管管道外安装钢管或混凝土管。不通行的套管内径不得小于穿越管外径加 300mm。套管结构设计应按路堤主管部门的规定执行。

● 如果承插式U型胶圈白熔双密封聚乙烯复合管管道穿越河道时,应在管道上设置混凝土环等抗浮的重力设施。开挖的管沟应连续而不间断,底部保持相对平滑且无石块等锋利物。如管沟底部有突出的石块、硬制地层时,应对管道进行必要的保护以避免其受损。可使用至少 100mm 的中粗砂作为垫层敷设于管沟底部。管顶覆土应足以保证施加在管道底部的压力小于设计值。确保管道可靠及安全是决定管顶覆土深度的重要因素,同时地方法规、省级规范以及国家规范也要遵守及执行。

4.3.3 管道敷设

承插式 U 型胶圈电熔双密封聚乙烯复合管埋地管道被焊接完成后,建议根据以下要求对其进行蛇形弯曲敷设。特别注意:请勿在管道及配件固化之前对其施加任何压力。对于不可测的热膨胀考虑设置蛇形弯曲是非常必要的,特别对于新安装的管路系统。

图 2.1 蛇形敷设

在炎热的天气里施工,蛇形弯曲是非常必要的。因为晚上气温会逐渐降低,收缩会造成管道连接点受向外的应力。同时在管沟内敷设管道时(此时管沟宽度应略大于推荐值),回填后土壤温度较低,易造成管道收缩,所以设置蛇形弯曲更是非常必要的。

图 2.2 弦长 L(m)及偏移量 h(mm)

4.4 回填方法

注意事项:在回填前,埋地管道需要进行完全彻底的检查及试压,且在试验检测过程中回填土仅可以覆盖在管路段,而连接处需要保持裸露状态。理想状况下,夏季回填工作应尽量选在早晨进行,此时管路完全处于收缩状态,管接头承受收缩应力最小。管道应被敷设在较深的土层范围内,土质不仅要实且能对管道起到一定的保护作用,以防止管道被破坏。应借鉴当地管道埋地安装经验,用于指导管路敷设。回填应在隐蔽工程验收合格后进行,管道周围 100mm 以内的回填士

不得含有颗粒粒径大于 100mm 的坚硬石(砖)块。回填土应分层夯实,以保证均匀产生外向的侧向被动力。如果条件介许,建议在回填过程中管道保持在 103 至 172Kpa 的水压。

在对砂土,沙砾等材料进行夯实过程中,采用振动方式进行回填效果最佳,并要使回填士强度尽量达到饱和状态。如果需要对回填士进行注水,应确保管道被完全覆盖。注水后的回填土在行人可踩踏之前,请勿添加其他回填材料。同时注水时要避免管道处于漂浮状态。当沙子和沙砾中含有很高比例的细小颗粒材料时,例如粘土、泥巴等,应采用手工夯实,若采用机械夯实,效果更佳。

在回填剩余的回填土时,应均匀的填散,以确保管沟被完全填满。

在大石块或土块的周围或底部不得出现任何未填满的空隙,同时锋利的大石块、十块、以直径大于 100mm 的碎石应被清理。压路机夯实机等重型设备只可用于回填士最外层的夯实使用,严禁夯实机械在埋地管道正上方停留、行走。

4.5 架空承压承插式 U 型胶圈电熔双密封聚乙烯复合管管道的安装及铺设

4.5.1 预留孔洞及埋设套管

承插式 U 型胶圈电熔双密封聚乙烯复合管管道穿过建筑物基础、楼板、屋面、墙体、设备基础时,要根据设计要求预留孔洞或埋设套管,管道埋在墙内时,要预留墙槽。管道安装应配合士建的施工进度按设计要求及时、准确地预留孔洞、墙槽或埋设套管,避免返工。这一项要求

对钢筋混凝土结构尤为重要。

预留孔洞的尺寸、座标、标高一定要按设计图纸及施工验收规范的要求施工。预留孔洞的尺寸一般为管径的 2 倍左右。楼板孔的预留位置(管外壁与墙面距离)必须要保证管道安装与维修方便以及管道需要保温时的要求。

承插式U型胶圈电熔双密封聚乙烯复合管管道在穿过地下室或地下构筑物外墙时一般用刚性防水套管:有严格防水要求时采用柔性防水套管。防水套管中的填料要填实。

承插式U型胶圈电熔双密封聚乙烯复合管管道穿过隔墙和楼板大多数情况下采用普通套管,它分为铁皮制与钢管制。铁皮套管可用薄钢板卷成圆筒形,钢制套管采用比承插式 U 型胶圈电熔双密封聚乙烯复合管管道外径大 1~2 号的钢管。管道穿过楼板时,套管上端应高出地坪 50mm 下端与楼板底齐平;穿地面套管应高出地面 100mm。穿过管与套管之间的空隙应采用填料密实封堵。

预留孔洞及埋设套管的具体形式及尺寸可参考标准图集 02S404:防水套管以及 02SS405;给水塑料管安装。

4.5.2 管道吊杆及支架

4.5.2.1 支吊架的选取原则

支吊架的选择应满足管道的安全、经济运行,符合管道的热胀、冷偏、防振等特殊要求。选择支架架必须遵循下列基本原则;

● 在管道上不允许有轴向位移的地方,应设置固定支架。

● 在水平管道上无垂直位移或垂直位移很小的地方,如对管道轴向摩擦力无严格限制时,采用滑动支架。

● 在水平管道上只允许有轴向位移而不允许有横向位移的地方,应设置导向支架。导向支架的形式与滑动支架基本相同。但具有防止管道在运行时发生非轴向移动的装置。

● 在管道具有垂直位移的地方,应设置弹簧员架;当不便设置弹簧吊架时,可采用弹簧支架;当同时具有水平位移时,应采用滚动弹簧支架。对室内架空管道上不便设置滑动支架或导向支架时,可采用吊架。

4.5.2.2 支吊架的安装

● 支吊架的设置应准确、选型符合要求,埋设平整牢固,与管子接触良好,并能满足管道的热胀冷缩和设备推力,防止管道振动。

● 支吊架的间距不得超过最大允许间距,并应考虑管道荷重的合理分布,支吊架位置宜靠近三通、阀门等集中荷载处。

● 支吊架应支承在可靠的建筑物上,支吊结构应具有足够的强度和刚度,支吊架固定在建筑物上时,不得影响结构的安全。

● 支吊架的装设,不应影响设备检修及其他管道的安装和扩建,并应满足泄水的要求。

● 固定支架应严格按设计要求安装,并在补偿器拉伸前固定。

● 碳素钢支吊架不能与承插式 U 型胶圈电熔双密封聚乙烯复合管管道直接接触,应当采用塑料、像胶等柔性材料进行隔离。

4.5.3 跨防火墙及防火分区

承插式U型胶圈电熔双密封聚乙烯复合管管道是高密度聚乙烯基复合材料,如果建筑物发生火灾,管道将燃烧、熔化,不能发挥消防管道作用。因此,本手册特别强调承插式 U 型胶圈由熔双密封聚乙烯复合管管道不得用于室内消防供水系统:同时,为保证消防管道系统的安全,强调承插式U型胶圈电熔双密封聚乙烯复合管管道不得与消防和生活给水合用系统相连接。

承插式 U 型胶圈电熔双密封聚乙烯复合管管道应远离热源,立管与燃气灶具净距不得小450mm,距燃气热水器的净距不得小于 200mm。

横管严禁在燃气灶具、燃气热水器上方敷设。管道不得直接与热水器热水进出口连接,应采用金属波纹软管过渡连接,过渡连接管段长度不宜小于 350mm。

● 室内充水生活给水干管采用承插式 U 型胶圈电熔双密封聚乙烯复合管管道时,可不采取防火保护措施。

● 承插式 U 型胶圈电熔双密封聚乙烯复合管管道作为生活给水横干管不宜穿越防火分区隔墙和防火墙;当不可避免确需要穿越时,应在管道穿越墙体处的两侧采取设置阻火圈等防延燃措施。

● 除多层住宅外,住宅建筑明敷的直径≥110 毫米承插式 U 型胶圈电熔双密封聚乙烯复合管给水干管在穿越楼板处,应紧贴楼板采取设置阻火圈等防延燃措施。

● 公共建筑承插式 U 型胶圈电熔双密封聚乙烯复合管管道给水干管应设在管道井内,当管道井的面积大于 1m2 时,应每隔 2—3 层并结合管道井的封堵采取设置阻火圈等防延燃措施。

● 当建筑内明敷直径≥110 毫米给水支管接入管道井内的竖管时, 在穿越管道井辟处应采取设置阻火圈等防延燃措施。

● 阻火圈等防延燃产品的耐火权限,应根据设置位置参照《建筑设计防火规范》及《高层民用建筑设计防火规范》等有关规定执行。

● 阻火圈等防延燃产品属消防产品,必须按规定办理消防产品认可手续,无消防产品认可手续的产品不得在建设工作中使用。

4.5.4 承插式 U 型胶圈电熔双密封聚乙烯复合管管道及配件的连接

4.5.4.1 管材切割及封口

承插式 U 型胶圈电熔双密封聚乙烯复合管管道按直管供货,标准长度为 6m,8m,10m,12m。也可按用户特殊要求供货。为避免储存、使用过程中加大钢丝腐蚀,在生产过程中已采用聚乙烯封口环对承插式 U 型胶圈电熔双密封聚乙烯复合管管道两端进行了封堵。在安装过程中应尽量避免切割管材。如需切割时,建议对管材切割面重新封口。

当必须切割管材时,应采用机械方法切割。尽可能保证切割面平整且应与管道轴线垂直,严禁用明火烧割。如果在管道末端出现明显的损坏或裂纹,请务必在破损处 50mm 以外将受损管段切割掉。

4.5.4.2 连接前的准备工作

如在沟底安装时,建议在连接处挖操作坑,坑深以方便操作为宜。承插式 U 型胶圈电熔双密封聚乙烯复合管管道外表存在氧化层,为保证焊接效果,应用专用工具刮除焊接表皮。一般刮削深度为 0.1~0.2mm,同时应标志好装配承插深度标记。用 95%以上的酒精或丙酮清洗管件焊接面,如发现个别管件焊接面有明显的油污或黏附其他有机污染物,建议采用汽油进行清洗。清理管道内及管件电容接头插孔时的泥沙,检查焊接面是否已擦干净。

4.5.5 管道连接

承插式U型胶圈电熔双密封聚乙烯复合管管道一般采用承托式和套筒式电熔焊接,当运输低压液体,强度和严密性不高时,经管道厂商专业技术人员确定后可以考虑热熔对接。

4.5.5.1 管道安装

管道开始安装前必须把管材表面清洁干净,用磨光机打磨后画上标记线(标记线必须承插两边的两根管材同时进行),标记线与管口的距离应先测量电熔管件中线与管件管口的距离。将电熔管件推入管口适当深度,用锤子轻击电熔接头四周,将电熔接头打入到标记为止,严禁敲击电源接线柱。尽量使配件两侧管道保持在同一轴线上。

● 在后方敲击管材时候必须在管材端口处垫上木方,木方大小参考第一条。

● 敲击管材往前的承插深度必须达到刻度线的要求。

4.5.5.2 电熔连接

● 承插式 U 型胶圈白熔双密封聚乙烯复合管专用白熔焊接机采用380v 三相电源。设备必须有接地保护。

● 通电前,检查焊机电源线接触是否良好,有无泥沙或氧化层, 排除造成接触不良的各种原因。连接焊机的电源线及电源插座必须保证和焊机的功率优配。一般情况下,3KVW 的焊机保证 6m2 的电缆线,5KVW的焊机应保证 10m2 的电缆线。

● 打开焊机,设置所需电压,电流及加热时间。具体参数要参考管件上的焊接参数,并每次焊接电压忽然降低后方可焊接下一个。

● 在焊接过程中,注意观察电熔管件观察孔的变化及有无异常情况,管件变形及表面温度是否正常,如发现观察孔冒料应立即停机,分析原因,制定纠正措施并记录备案。

4.5.5.3 放置及固化时间

在焊接及冷却过程中,不得移动、转动接头及管道,不得在连接部位和管道上施加任何人为外力。建议焊接在布管和装配完成后进行。冷却及固化一般需要 3—4 小时,焊接部位手感无温度即可。

4.5.5.4 管道系统现场水压试验

待管道系统安装成功后,需要对系统进行打压试验。压力试验前,对埋地管道试验管段应检查除管道接口处的外露部分,管顶回填覆土层不小于 0.5m 的要求;管道系统必须设置的止推墩、支墩和锚固设施是否达到承载力要求;

● 埋地管道应进行强度和严密性试验,以水为介质。当管道长度大于 500m 时,管径 dn 不小于 200mm 时,严密性应采用测定管道渗水量的方法测定,其补水量不得大于按下式计算的允许值:

 

式中:Q—管道每公里每日(24h)的允许补水量(L);

di—管内径

Ft—管道系统试验压力(Mpa),建议采用系统设计内水压力Fw+0.5Mpa,且不得小于 0.9Mpa。

● 当埋地管道系统长度小于 500m,dn 小于 200mm 时,水压试验 采用压力降法。压力降法试验结果应符合下列规定:给水管道在试验压力 Ft(Mpa)作用下稳压 1h,压力降不得大于 0.05Mpa;然后再在 1.15 倍工作压力 Fw(Mpa)作用下稳压 2h,压力降不得大于 0.03Mpa。

● 承插式 U 型胶圈白熔双密封聚乙烯复合管管道与其他管材组成的管道系统合并进行现场水压试验时,可按其他管材标准规定的试验压力进行试验。

严密性和强度试验,可参照 CECS17:2000《埋地硬聚乙烯给水管道工程技术规范》和 GB50268《给水排水工程施工及验收规范》的相关要求执行。在打压试验过程中,需将水慢慢注入到管道系统中,同时在打压试验前,需将系统最高位末端放水阀处将空气完全排出。空气必须从管道系统(无论塑料管材或金属管材)中被排出,从而避免在系统打压过程中空气对封闭系统管材造成一定的损害。残存在系统内部的空气会产生额外的波动压力,从而对系统造成破坏,空气以及压缩气体不可以被用于系统压力试验。如果在系统打压过程中发现有压力泄漏,应立即将有问题的管道及配件拆除。且新的管段可使用直通与原有系统进行连接。

● 严禁在水压试验中带压拆卸管道及配件。

● 因项目现场缺水,可采用气压参照以上方法实验,气压 1Mpa=水压 2.3Mpa,所有压力参照此换算方法进行试压。

4.6 系统改修复的安装方法

在管道施工及日后使用过程中,我们可能对已安装的承插式 U 型胶圈电熔双密封聚乙烯复合管管道系统进行改造,而恰当的施工方法及工艺会安全修复原系统。以下方法将会指导您如何顺利地在改造过程中对系统管路进行安装。

对原有系统进行改造前,需仔细阅读有关改造程序,以确保改造前后整个系统的完整性。很多种方法可以被使用在原有系统改造项目中。

例如使用三通配件及法兰等进行连接。无论使用哪种方法进行连接,但以下要求必须被满足以确保系统最大的完整性。

● 建议要改造的系统在管道焊接前将管网内存水完全放空,可使用真空排水以确保系统内部的水已经被排放。(湿气会降低焊接效果并降低焊接部位的强度)

● 在着手进行管道改造安装前,应仔细阅读本手册关于焊接的章节(管道必须在末端适当位置进行平整切割,去毛边以及抹干等工作,确保管道插入配件的深度适宜且与原有系统保持良好的完整性)。

● 应仔细测量管道长度并进行切割,以确保在安装过程中能将其

连接到原有系统中去。

● 在焊接之前,应仔细阅读配件标签上的焊接参数。

● 在焊接完成后,应按照本手册的固化要求放置一段时间,此期间应确保焊接部位不受任何压力。

● 管道接口处固化时间满足要求后,在打压试验前,需将水慢慢地注入到管道系统中,同时在系统最高位末端放水阀处将空气完全排出(可参考本手册有关水压测试章节的相关要求)。

● 管道接口焊接固化时间满足要求且系统中接入一个三通,并通过其对系统进行水压试验。在压力试验前,使用系统内所设置的阀门将整个系统被打压的区域进行分割,以确保对最小范围空间进行打压试验,且试验压力不应超过系统工作压力 0.5Mpa。此方案将使因系统泄漏而导致跑水的范围缩小到最小化。

4.7 其他设计参数

4.7.1 化学兼容性

承插式 U 型胶圈电熔双密封聚乙烯复合管管道是以 HDPE 为基础的新型复合材料,继承了 HDPE 管道优异的耐腐蚀性能,提高了管材的耐压性能。承插式 U 型胶圈电熔双密封聚乙烯复合管管道用作冷、热水(<70℃)、燃气管道以及工业管道系统均已有超过 6 年使用的成功案例,包括市政工程新建建筑的改造和修复项目。承插式U型胶圈电熔双密封聚乙烯复合管管道产品由于其自身显著的防腐蚀性能,完全适用于以上所涉及的应用领域及范围。某些介质与成播式订型胶圈电熔双密封聚 7 烯复合管管道进行接触时,是否能达到产品之间相互化学兼容,需得到该产品生产商的确认。如果该介质不能够确定是否与承插式 U 型胶圈电熔双密封聚乙烯复合管管道达到化学兼容,建议不要采用承插式 U 型胶圈电熔双密封聚乙烯复合管管道